- 1億人元気運動協会 TOP >
- 資格認定 >
- チェアエクササイズ®指導者養成・資格認定講座 >
- チェアエクササイズの科学的考察
チェアエクササイズの科学的考察
チェアエクササイズの科学的考察を基礎研究1項目と応用研究2項目について、解説します。
<基礎研究 fundamental research>
チェアエクササイズのトレーニング効果
1)筋力、敏捷性、柔軟性や生活体力(※)の改善
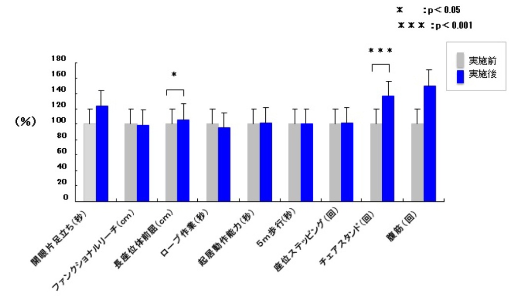
チェアエクササイズのトレーニング効果の検証を行いました。その結果、柔軟性、敏捷性、腹筋力、さらにロープ作業、起居動作能力の向上といった、転倒予防や生活体力(※)に有意な改善が認められました。
(※)生活体力とは
種田行男氏(明治安田生命事業団)により考案され、機能的に自立して日常生活を支障なく過ごすための身体的な動作能力をいいます。生活体力には起居動作能力(起きる・立ち上がる・座る・横たわる)、ロープ作業(更衣・入浴・整容)のほか歩行能力、手腕作業能力があります。
図.チェアエクササイズの体力測定結果
被検者:平均47.2(43~54)歳,女性,9名
条件:週5~6回,1日30±15分間、最大強度約4METsのチェアエクササイズを2ヶ月間実施

2)自覚的症状の改善
チェアエクササイズによる自覚的症状について検証を行いました。その結果、「風邪をひきますか?」「息切れの程度はいかがですか?」「気分はいかがですか?」「病気しがちですか?」「体重はいかがですか?」において、有意な改善が認められました。
図.チェアエクササイズ後の自覚的症状の改善
被検者:平均47.2(43~54)歳,女性,9名
条件:週5~6回,1日30±15分間、最大強度約4METsのチェアエクササイズを2ヶ月間実施

以上のことから「チェアエクササイズ®」は、QOLの維持・増進、ADLの自立を促せる効果があり、高齢者や低体力者の運動プログラムとして適していると考えられます。
<応用研究1 Applied research1>
サーキットチェア®エクササイズのトレーニング効果
1)筋力、柔軟性の改善
サーキットチェアのトレーニング効果の検証を行いました。
その結果、転倒予防に関係する下肢筋力、柔軟性の向上に有意な改善が認められました。
図.サーキットチェア®エクササイズの体力測定結果
被検者:56~70(平均63.5)歳,女性,16名
条件:週5~6回,1日約18±9分間、最大強度約4METsのサーキットチェアエクササイズ(1回は2分間のエアロビックパートと1分間の筋力強化エクササイズを3セット)を2ヶ月間実施の前後を比較

2)持久性能力の改善
サーキットチェア実施前後の踏み台昇降運動時の心拍数を比較しました。
その結果、約10分間の短時間で低強度の椅子座位の運動であっても、持久性能力の改善が認められました。
図.サーキットチェア®エクササイズの踏み台昇降時の心拍数
被検者:66~79(平均69.4)歳,男女,5名
条件:週5~6回,1日約18±9分間、最大強度約4METsのサーキットチェアエクササイズ(1回は2分間のエアロビックパートと1分間の筋力強化エクササイズを3セット)を2ヶ月間実施の前後を比較
3分間の踏み台昇降運動を実施(1分間当たりの昇降回数55回;BPM:110、踏み台の高さ20cm)

以上のことから「サーキットチェア®」は約10分間の短時間で低強度、運動形態がイス座位中心の運動であっても、高齢者において下肢筋力や柔軟性、および持久性能力を改善させることが明らかになりました。
また、覚えやすく楽しい動きで構成された内容は、高齢者の自主性・習慣化を導くプログラムとして薦められます。
<応用研究2 Applied research1>
~チェアエクササイズ®による姿勢改善・運動機能向上をねらいとした運動プログラムの検討 ~自主型地域健康エクササイズDVDを用いて~
姿勢改善・運動機能向上をねらいとしたチェアエクササイズのトレーニング効果
1)多様な運動機能の向上
自主型地域健康エクササイズDVDを用いて、チェアエクササイズのトレーニング効果の検証を行いました。
その結果、体力測定は、握力、座位ステッピング、TUG、最大一歩幅(右足前)、タンデムバランス(右足前)、タンデム歩行(エラー回数)の有意な向上が認められました。椅子座位だけでなく、支えに使う、周囲を移動するといった運動形態と運動量を漸進的に負荷することで、バランス能力・歩行能力が低下している高齢者においても無理なく取組むことができ、多様な運動機能の向上ができたと考えられます。
図.~チェアエクササイズ®による姿勢改善・運動機能向上をねらいとした運動プログラムの検討 ~自主型地域健康エクササイズDVDを用いて~の体力測定結果
被検者:平均78.7(74~84)歳、女性,16名
条件:エクササイズの時間と強度は、前半2ヵ月間1日10分×3セット(らくらくコース)、後半2ヵ月間1日30分×2セット(いきいきコース)をDVDを見ながら自宅にて実施。10種類の体操は基本と低強度の2パターンあり、体操1~3は椅子座位で自重抵抗の度合い、体操4~10は椅子座位と立位の運動形態を強度の要因とし、体力レベルに合わせて強度を自主選択しマイペースで実施するよう促しました。週1回プロ運動指導者が正しい姿勢と体操時のフォーム形成、及び運動の必要性について認識させるよう指導を行いました。

2)姿勢の改善
自主型地域健康エクササイズDVDを用いて、チェアエクササイズの姿勢改善の検証を行いました。
その結果、姿勢評価の結果は、静的姿勢・動的姿勢ともに、有意な改善が認められました。
表.チェアエクササイズによる姿勢改善・運動機能向上をねらいとした運動プログラムの検討~自主型地域健康エクササイズDVDを用いて~姿勢評価
被検者:平均78.7(74~84)歳、女性,16名
測定方法:1.静的姿勢:静止中の矢状面のアライメントを評価する(写真1)。2.動的姿勢:①リズムからずれる、②動作中の足がゴムに触れる、③左右の支柱に握り棒が当たる(写真2) の合計回数を比較。


3)運動の強度・難度の妥当性と日常生活行動の主観的改善
自主型地域健康エクササイズDVDを用いて、運動の強度・難度の妥当性と日常生活の評価について検証を行いました。
その結果、日常生活に変化なし6%、変化あり94%でした。運動の強度・難度は2.89点でした。具体的な変化として、「よく転んでいたのがなくなった。身長が0.7cmのびた。歩幅が広くなった。」などがありました。運動経験の少ない一般的な高齢者において、運動強度・難度はちょうど良いと思われ、参加者は変化を実感しています。
図表.チェアエクササイズ®による姿勢改善・運動機能向上をねらいとした運動プログラムの検討~自主型地域健康エクササイズDVDを用いて~プログラム評価
被検者:平均78.7(74~84)歳、女性,16名
方法:運動プログラム実施4か月後に、アンケートによるプログラム評価を実施

以上から、姿勢および運動機能の客観的向上とともに、日常生活行動にポジティブな主観的改善も認められました。椅子座位は姿勢に関係する骨盤の位置を認識しやすく、また運動量の幅広い調節も可能です。チェアエクササイズを取り入れた健康エクササイズは、フレイル予防運動として安全かつ効果的に実施でき、自主型地域健康エクササイズとして有効と考えられます。





